癌症和心力衰竭有共同的危险因素(如年龄、2型糖尿病、高血压、肥胖、酒精和吸烟)、病理生理学和遗传学机制。由于竞争性风险,心衰生存率的提高可能增加患者癌症发病风险。但心衰患者的癌症发病率是否随时间推移而增加尚不清楚。近期《欧洲心脏杂志》发表了一项纳入超过10万人的丹麦注册研究,分析了1997至2016年间心衰患者新发癌症的时间趋势。19年的随访结果显示,心衰患者的癌症发病率在心衰诊断后的1-6年内保持稳定,而心衰确诊后的长期生存率显著增加。

研究方法
索引日期(index date)定义为首次门诊或住院后确诊心衰后1年,以先者为准(ICD代码DI42、DI50、DJ81)。设置为心衰诊断后1年,目的是防止可能的监测偏倚。研究人群为丹麦全国注册数据中1997年1月1日至2016年12月31日期间103711例30-80岁首次确诊心衰的所有患者,且在索引日期时尚未离开丹麦(图1)。排除索引日期前10年内诊断癌症的患者,具体入排标准见图2。所有患者均有5年的潜在随访期。主要结果是任何类型的癌症(ICD编码DC00-DC96,不包括DC44非黑色素瘤皮肤癌),次要结果包括全因死亡。

图1. 研究设计

图2. 入排标准
所有患者从索引日期起随访至确诊癌症、死亡、移民或索引日期后5年,先者为准。多变量Cox比例风险模型根据性别、年份、缺血性心脏病(IHD)、慢性阻塞性肺病(COPD),以及袢利尿剂和抗糖尿病药物的使用进行校正,以评估与1997年癌症发病率相比,癌症发病率的年变化。使用Kaplan-Meier方法估计心衰患者5年累积全因死亡率,使用Aalen-Johansen方法估计心衰患者5年累积癌症发病率;计算1997-2016年期间因心血管(CVD)和非心血管疾病导致的5年死亡风险。在补充分析中,计算了癌症的5年发病率(事件/1000人-年)、10年癌症和死亡累积发生率,以及非心衰匹配人群癌症的5年发病率(事件/1000人-年)。
研究结果
基线特征
所有年份组的男性比例都较高,且男性比例随年份的推移而增加。同样,IHD和房颤患者,以及使用他汀、抗凝药物、β-受体阻滞剂、抗糖尿病药物、肾素-血管紧张素系统抑制剂、ADP-受体抑制剂的患者比例,也随年份的推移而增加。而中位年龄随年份的推移而降低(表1)。
表1. 患者特征

癌症发病率和危险比
1997年和2016年癌症5年发病率分别为20.9和20.2每1000人-年(图3A)。类似地,当校正性别、年份、IHD、COPD、袢利尿剂和抗糖尿病药物的使用后,与1997年的5年HR相比,癌症的5年HR有小幅、非显著增加。1997年和2016间的HR没有显著差异(HR=1.09,图3B)。男性(图3B-E)和女性(图3C-F)也如此。无论哪个年龄段、是否合并IHD,癌症的最高发生率均出现在心衰确诊后的第1年(图4)。与<60岁的心衰患者相比,>60岁、伴或不伴有IHD的心衰患者具有更高的癌症发生风险。胃肠癌、肺癌和乳腺癌是随访期间最常见的癌症类型(图5)。

图3. 癌症5年发病率和危险比

图4. 根据年龄和ICD定义的组中根据心衰诊断时间的癌症发病率

图5. 1997-2016年期间,在索引日期后5年内发生的不同癌症类型数量
癌症和死亡风险
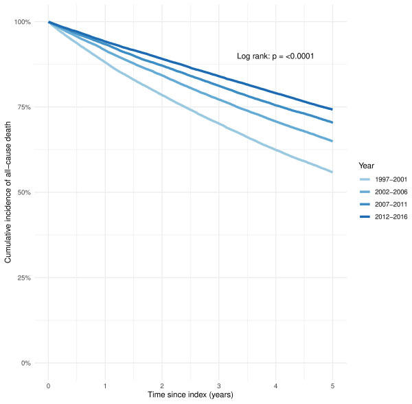
心衰患者5年的绝对癌症风险保持不变——1997-2001年:9.0%(8.9-9.0);2002-2006年:9.0%(8.9-9.0);2007-2011年:9.0%(8.9-9.0);2012-2016年:9.0%(8.9-9.0)(图6)。心衰患者的5年累积生存率随年份的推移而增加——1997-2001年:55.9%(55.3-56.5);2002-2006年:64.9%(64.3-65.6);2007-2011年:70.4%(69.8-71.1);2012-2016年:74.3%(73.8-74.7)(图7)。1997至2016年间,CVD的5年死亡风险大幅下降,而非CVD的5年死亡风险略有下降(图8)。

图6. 丹麦心衰患者患癌症的绝对风险

图7. 1997-2016年间丹麦心衰患者生存率的时间趋势

图8. 1997-2016年间,丹麦心衰患者CVD死亡和非CVD死亡的5年风险
与<60岁者相比,>60岁的心衰患者的绝对死亡风险差异更大。>60岁的心衰患者的10年绝对癌症风险[53.5%(53.1–53.8)]和死亡风险[15.6%(15.3–15.9)]比<60岁者更高[癌症发病率:24.9%(24.3–25.5);死亡率:9.01%(8.63–9.38)]。年轻和年长患者5-10年的癌症发病率或死亡率没有显著变化。1997至2016年间,年龄和性别匹配的无心衰的丹麦患者的5年癌症发病率下降。
整体上,这项丹麦全国性的研究调查了1997至2016年间<80岁的心衰患者的癌症发病率的时间趋势。研究证实,心衰确诊后的患者长期生存率有了显著改善,令人欣慰的是,在同一时期观察到癌症发病率没有变化,说明无癌心衰患者的生存率增加(图9)。

图9. 心衰患者癌症发病率的时间趋势
研究结论和临床意义
本研究中,1997-2016年期间,未观察到<80岁、心衰确诊≥1年、既往10年未患癌症的丹麦心衰患者癌症发病率增加,而生存率随着时间推移而增加。无论哪个年龄组,心衰确诊后的第1年内,癌症发病风险都是最高的。心衰患者生存期趋势随着时间的推移而得到改善,而5年癌症发病风险则随着时间的推移而保持不变。
本研究具有如下临床意义。首先,由于癌症发病率稳定,心衰患者的生存率提高,心内科医生将更常遇到有癌症症状和确诊癌症的心衰患者;因此,在绝对数量上,确诊的癌症是新的挑战,CVD相关死亡的患者比例相应下降。第二,提示心内科医生应了解癌症症状,特别是对于高危老年患者。最后,根据研究数据,可推测<80岁、既往10年无癌症史的心衰患者的死因可能是CVD或感染,如肺炎或流感。知晓这一点,有助于改善未来心衰随机临床试验中的人群选择。

END
参考文献
Jonas Bruhn et al. Temporal trends in the incidence of malignancy in heart failure: a nationwide Danish study. Eur Heart J. 2023 Jan 24;ehac797. doi: 10.1093/eurheartj/ehac797.
图片
声明:本文仅供医疗卫生专业人士了解最新医药资讯参考使用,不代表本平台观点。该信息不能以任何方式取代专业的医疗指导,也不应被视为诊疗建议,如果该信息被用于资讯以外的目的,本站及作者不承担相关责任。
我要留言