右心室(RV)功能障碍在各类心血管疾病中具有预后意义,它不仅是肺动脉高压患者临床症状和生存的主要决定因素,而且对左侧心脏病具有独立的预后价值。约一半的心力衰竭和左心室射血分数(LVEF)降低的患者存在右心室功能障碍,与不良结局风险增加2倍相关。因此,筛查右心室功能障碍非常重要。二维(2D)超声心动图是评估右心室功能最常用的影像学手段,然而其无法利用三维(3D)超声心动图衍生的右心室射血分数(RVEF)所提供的临床信息。近期,《美国心脏病学会:心血管影像学杂志》(JACC: CARDIOVASCULAR IMAGING)的一项研究,旨在实现一个基于深度学习(DL)的工具,通过2D超声心动图视频估计RVEF,以人工读数为参照评估了这一工具的性能,并评估了预测RVEF值的预后性能。
研究方法
回顾性鉴定了831例通过3D超声心动图测量RVEF的患者,并检索这些患者的2D心尖4室视图超声心动图视频(n=3583)。受试者以80:20的比例被分入训练集或内部验证集。利用这些视频训练了几个时空卷积神经网络来预测RVEF。将3个性能最佳的网络合并成一个集成模型,并在一个包含365例患者、1493个视频的外部数据集中进行进一步评估,中位随访时间为1.9年。
研究结果
选择患者和视频
从840例符合纳入标准的受试者的3707个心尖4室视图超声心动图视频中,排除了不合格或不足以进行深度学习分析的视频(图1)。最终的内部数据集纳入来自831例患者的944次超声心动图检查的3583个视频。最终的外部数据集纳入365例患者的365次超声心动图检查中的1493个视频。
.png)
研究队列的临床特征
内部数据集包括7个不同的队列:1)健康人(n=192;无心血管疾病史,左室和右室功能良好);2)优秀竞技运动员(n=139);3)心肌病患者(n=125;中位LVEF为30.1%);4)瓣膜病患者(n=155;54.8%为严重主动脉瓣疾病,43.9%严重二尖瓣疾病,1.3%既往接受二尖瓣置换或修复术);5)既往接受原位心脏移植的临床稳定患者(n=87);6)儿童(n=77;包括健康儿童和肾移植患儿);7)其他(n=56)。RVEF值范围为21.6%-75.5%,中位54.8%。在135次(14.3%)检查(包含523个视频)中发现右心室功能障碍(定义为RVEF<45%)。
外部数据集包括患有各种心脏疾病(如心肌病、瓣膜病或肺动脉高压)的成年患者。大多数(97.0%)在同一天也接受了心脏核磁(CMR)评估。在1.9年的中位随访时间中,49例患者(13.4%)达到了主要终点(12例心源性死亡,31例心力衰竭恶化需要住院治疗,6例室性心动过速或纤颤)。相比无事件患者,随访期间出现MACE事件的患者年龄较大,功能状态较差,慢性肾病患病率较高,左心室和右心室形态学和功能参数受损较严重。RVEF值范围为21.9%-65.2%,中位47.6%。145例(39.7%)患者被诊断为右心室功能障碍(632个视频)。
DL模型的RVEF预测性能
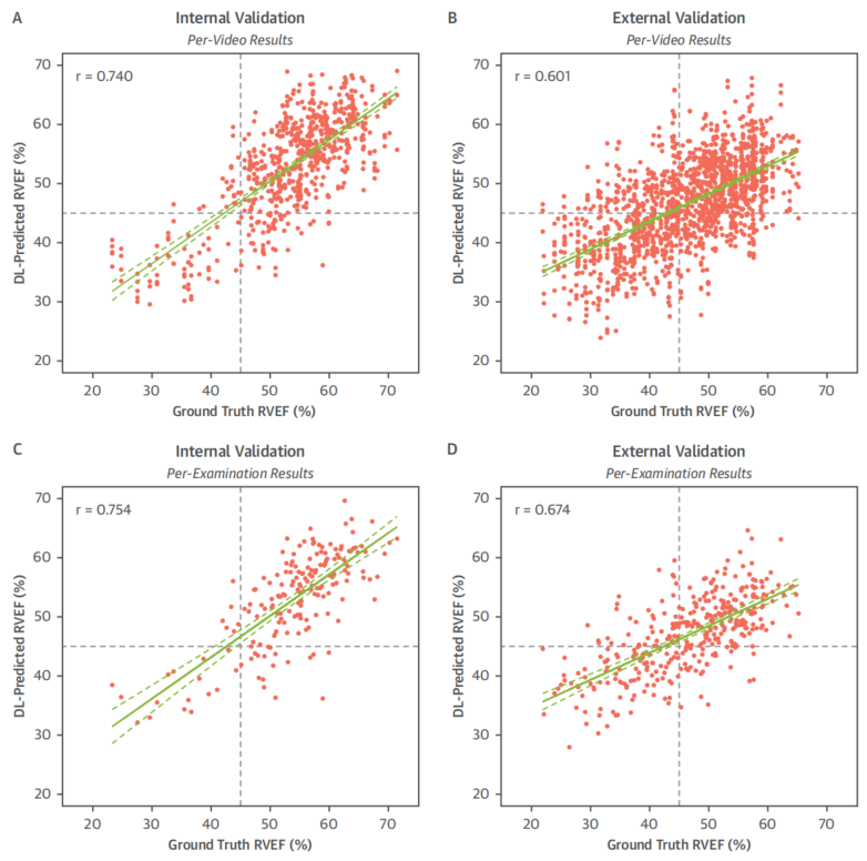
在检查水平,DL模型预测的RVEF的内部平均绝对误差(MAE)为4.57%(R2=0.52),外部验证集的内部MAE为5.54%(R2=0.45)。在视频水平,DL模型的MAE分别为5.06%(R2=0.50)和6.11%(R2=0.33)(图2)。Bland-Altman分析显示,内部数据集中的DL预测RVEF值和真值之间有显著但很小的偏差。考虑到人工阅片者间的可变性(4.30%),DL模型的性能堪称良好。模型在不同质量的图像中没有较大的性能差异。无论是内部还是外部验证集,标准和心尖4室视图视频之间的预测误差均无差异。
(17).png)
右心室功能障碍检测
采用指南指导的3D超声心动图界值45%来定义右心室功能不全。在内部(视频水平:AUC=0.929;95%CI:0.896-0.957;检查水平:AUC=0.915;95%CI:0.852-0.966)和外部验证数据集(视频水平:AUC=0.807;95%CI:0.785-0.829;检查水平:AUC=0.841;95%CI:0.796-0.883)中,均能够根据DL推导的RVEF值检测右心室功能障碍,而且具有很高的区分度(图3)。
(16).png)
此外,DL模型的准确性与外部数据集中的人工读数相当(视频水平:74.3% vs. 75.6%;P=0.389;检查水平:78.4% vs. 77.0%;P=0.678),灵敏度更高(视频水平:67.7% vs. 50.3%;P<0.001;检查水平:67.6% vs. 51.7%;P<0.001),但特异性较低(视频水平:79.1 vs. 94.1%;P=0.003;检查水平:85.5 vs. 93.6%;P=0.006)。
预后价值
与RVEF(HR=0.936;95%CI:0.911-0.962;P<0.001)真值相似,DL预测值也与MACE相关(HR=0.912;95%CI:0.875-0.950;P<0.001)。在以年龄、性别和LVEF为协变量的多变量Cox模型中,发现DL预测的RVEF是MACE的独立预测因素(HR=0.924;95%CI:0.862-0.990;P=0.025)(表1)。
(15).png)
使用45%的界值,DL预测的RVEF能够识别MACE高风险和低风险患者亚组。根据预测的RVEF值,患者按四分位数分组,生存分析显示事件发生存在显著性差异。这些结果与地面真实的3D超声心动图得出的真值相似。
研究结论
DL模型可以通过2D超声心动图视频准确评估右心室功能,并使用与3D影像类似的诊断和预后信息。研究结果证明,人工智能可以从低水平影像模态获得高阶临床知识,其性能与临床专家相当甚至更佳,有潜力开发为具有高成本效益的医学影像学工具。
参考文献
Tokodi et al. Deep Learning-Based Prediction of Right Ventricular Ejection Fraction Using 2D Echocardiograms. JACC: CARDIOVASCULAR IMAGING, VOL. 16, NO. 8, 2023 AUGUST 2023:1005-1018.
我要留言