中国医学科学院阜外医院 刘立旻 姚焰
编者按:左室心肌致密化不全(LVNC)是一种并不罕见的心脏形态学表型,该病具有高度临床异质性,高危患者往往预后不佳,可出现危及生命的心血管并发症。目前关于LVNC患者不良预后的风险预测模型较少,且现有模型较为复杂,临床普及性有限。在欧洲心脏病学会(ESC)2024年大会期间,中国医学科学院阜外医院心律失常中心姚焰教授团队报道了针对LVNC患者主要不良心血管结局的新型简化风险评分(81988-ABLE-SCORE: a simplified risk score for major adverse cardiovascular outcomes in patients with left ventricular noncompaction),本刊特邀姚焰教授介绍研究并分享观点。

项目主要研究者刘立旻代表团队在会上报告
目的
针对LVNC患者的主要不良心血管事件(MACE)构建临床实用便捷且预测效能较高的风险评分模型。
方法
此项多中心回顾性队列研究连续纳入阜外医院2009/01-2020/12明确诊断为LVNC的患者429例,按7:3随机分为模型构建队列(n=300)和内部验证队列(n=129),同时纳入2014/01-2022/12来自四川大学华西医院及中国医科大学附属第一医院的95例LVNC患者作为外部验证队列。阜外医院队列和外部验证队列分别随访至2022/12和2023/12。研究终点MACE事件包括全因死亡、心脏移植/左心室辅助装置植入、心脏再同步治疗、恶性室性心律失常及血栓栓塞。
结果
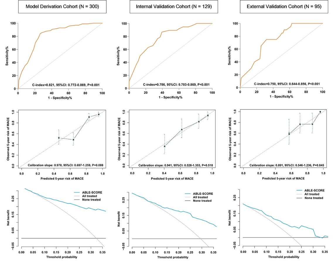
研究共纳入524例LVNC患者(平均年龄43.5±16.6岁,65.8%为男性),在接近5年的中位随访过程中,97名(32.3%)模型构建队列患者,38名(29.5%)内部验证队列患者和20名(21.1%)外部验证队列患者发生了MACE事件。多因素Cox回归分析显示年龄、N-末端脑钠肽前体水平升高、左心房扩大和左心室射血分数≤40%是LVNC患者发生MACE事件的独立危险因素,基于上述多因素模型构建了LVNC患者MACE事件的风险预测评分(ABLE-SCORE)(图1)。内/外部验证显示ABLE-SCORE评分具有良好的区分度和校准度,临床决策曲线分析提示ABLE-SCORE评分与既往已发表的风险评分相比具有更高的临床净效益,表明其在临床适用性方面的优势(图2)。

图1. LVNC患者MACE事件风险预测评分的构建与决策曲线分析

图2. ABLE-SCORE评分在LVNC队列中的模型验证结果
结论
本研究首次在中国大规模LVNC队列中针对MACE事件构建了简化有效的风险预测评分,ABLE-SCORE有望为这一特殊人群的危险分层和临床管理提供进一步帮助。
专家点评
LVNC以心室内异常粗大的肌小梁和交错的深隐窝为主要表型,使心室肌呈现内层疏松、外层致密的特征性双层结构。患者在临床上主要表现为心力衰竭、恶性心律失常和血栓形成,严重者可发生心源性猝死。由于LVNC的高度异质性和不良预后,通过有效的风险分层早期识别具有不良结局的高危患者至关重要。然而,目前针对LVNC患者不良预后所开发的风险预测模型较少。2021年JACC杂志发表了一项关于LVNC患者MACE事件的风险评分,但该评分临床使用起来相对复杂,需要具备基因检测和心脏核磁扫描结果,尤其对医疗欠发达地区而言,临床普及性较为有限。因此,我们研究的目的是构建一个临床实用便捷且预测效能较高的风险评分来帮助更多的LVNC患者评估不良预后。
本研究的LVNC队列来自我国华北、东北、西南地区的国家级重点三甲医院,是迄今国内报道的最大规模的中国LVNC队列。研究从60个临床候选变量中筛选出17个与临床结局密切相关且具有显著统计学意义的变量纳入多因素Cox回归,最终建立了由4个简便易得的临床指标所构成的LVNC患者MACE事件简化风险预测评分(ABLE-SCORE)。同时,本研究还基于ABLE-SCORE开发了相应的风险预测评分网络计算器(www.able-score.com),便于帮助更多的临床医生和患者进行LVNC不良预后的风险评估。ABLE-SCORE评分不仅显示出良好的区分度和校准度,而且相比于既往已发表的风险评分具有更高的临床适用性,有望为LVNC这一特殊人群的危险分层和临床管理提供进一步支持。

左:Steffen Petersen教授,右:刘立旻医师。
专家简介

姚焰 教授
中国医学科学院阜外医院心律失常中心主任 主任医师 博士生导师
专业:从事心律失常机制研究与诊疗,心脏神经消融术、Brugada综合征消融及全三维电生理模式主要创始人,首创房颤线性消融及器质性室速片状基质消融术,心律失常导管消融量居国际第一
主持多项国家级重大项目、国家自然科学基金项目和国际多中心研究
获国家级“中青年突出贡献专家”、“百千万人才”及国务院特殊津贴
亚洲心律学会(AHRA)主席
中国医师协会心律专委会副主委
中国生物医学工程学会起搏与电生理分会副主委

刘立旻 医师
中国医学科学院阜外医院心律失常中心 副主任医师
专业:从事电生理与心律失常、心力衰竭与心肌病等方向的临床与科研工作
主持国家自然科学基金项目1项、院级课题2项
以第一作者发表中英文文章10余篇
获北京市科学技术奖二等奖
国际医药信息学会中国理事会心脏监护专业委员会专家委员
全国医药技术市场协会心脏监护技术专业委员会专业委员
Limin Liu, Yan Yao, et al. 81988-ABLE-SCORE: a simplified risk score for major adverse cardiovascular outcomes in patients with left ventricular noncompaction. Presented at ESC 2024
我要留言