高血压是心血管疾病最重要的可预防危险因素,正常血压水平受遗传、一般环境、特别是生活方式因素(如饮食组成、体重、体育活动和饮酒)的影响。饮酒可能会升高血压,但具体关联尚不完整,特别是在低水平饮酒时的关联,并且没有针对非试验队列研究的荟萃分析。近日,发表于Hypertension杂志的一项研究对此进行了探索。
(3).png)
研究背景
大量研究信息将饮酒与血压水平联系起来,然而每天摄入2种或低于2种标准酒精饮料时,酒精摄入与血压之间的关系还不确定,这是由于对低水平酒精摄入量的研究缺乏统计能力,还是反映了低水平酒精摄入量与高水平酒精摄入量的生物学差异,目前尚不清楚。
干预研究通常作为短期随机对照试验进行,以探讨高酒精摄入量的成年人减少酒精摄入量对血压的影响。在最初饮用少量至适量酒精的人群中,详细说明酒精摄入量变化对收缩压(SBP)和舒张压(DBP)影响的证据有限,没有关于这一主题的系统综述或荟萃分析。最近发表了关于低酒精摄入量与血压之间关联的纵向研究,并且最近报道了一种新统计荟萃分析技术,该技术允许对剂量-反应关系进行全面探索,即所谓汇总数据的一期剂量-反应荟萃分析。这种技术允许将研究纳入剂量-反应分析,即使只评估两类暴露,在单一模型内评估剂量-反应关系时保留任何特定研究的对比结构。由于这些考虑以及该主题对公共卫生的重要性,研究者在非试验队列研究中对饮酒与血压之间的关系进行分析,包括低水平饮酒的关系。
研究方法
研究者对健康成人的纵向研究进行系统检索,这些研究报告了酒精摄入与血压之间的关系。这项研究的终点是SBP和DBP随时间的平均差异,根据基线酒精摄入量绘制,采用剂量-反应1期荟萃分析方法。
研究结果
分析纳入7项研究,19 548名参与者,其中12701名(65%)男性,6650名女性。其中3项研究仅针对男性,2项研究包括男性和女性,2项研究按性别进行分层分析。四项研究将吸烟状况作为潜在混杂因素纳入多变量分析模型,五项研究纳入体重指数。随访时间最短为4年,最长为12年,中位数为5.3年。2项研究被归类为低偏倚风险,4项为中等偏倚风险,其余1项为高偏倚风险。研究观察到基线酒精摄入量与SBP和DBP随时间的变化之间存在显著线性正相关,无暴露效应阈值提示。
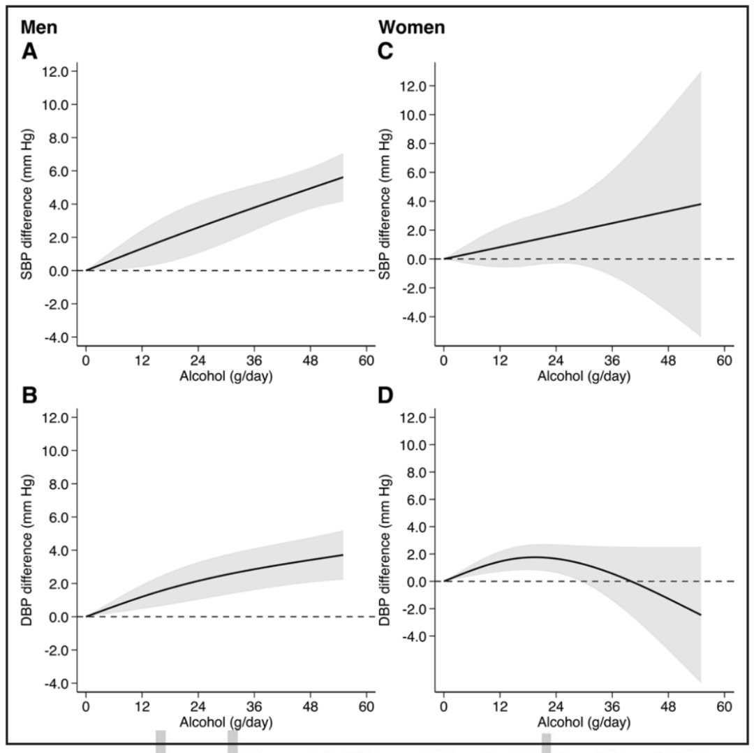
总之,与不饮酒的人相比,每天饮酒12 g或48 g的人平均SBP高1.25和4.90 mm Hg。相应的DBP差异为1.14 mm Hg和3.10 mm Hg。性别亚组分析显示,基线酒精摄入量与SBP变化在男性和女性中几乎呈线性关联,而DBP变化在男性和女性中,呈倒U型关联。饮酒与亚洲人和北美人的血压变化呈正相关,除了后者的DBP变化。
在一项针对性别的分析中,基于对12 196名男性的5项研究和对5632名女性的2项研究,酒精摄入量和血压之间的关系几乎呈线性,但男性比女性更陡峭,女性DBP与饮酒无直接关系,并显示出倒U型关联(图1)。在男性中,与不饮酒相比,每天饮酒12 g的SBP差异为1.33 mm Hg(95% CI:+0.22~+2.44),每天饮酒48 g的SBP差异为4.95 mm Hg(95% CI:+3.70~+6.20)。在女性中,与不饮酒相比,每天饮酒12 g的女性SBP高0.82mm Hg(95% CI:CI:- 0.58~+2.22),每天饮酒48 g的女性SBP高3.31 mm Hg(95% CI:- 3.67~+10.30)。
(3).png)
(4).png)
讨论与结论
这项荟萃分析的主要发现是,基线时的常规饮酒量与男性和女性的SBP随时间的变化呈正相关,基本呈线性模式,尽管变化量与有限的酒精摄入量相关。这项研究结果表明,在纵向分析中,不存在低于某阈值时,饮酒与较高的SBP之间不相关。因此,任何酒精的摄入都应被视为高SBP的一种风险因素,具有重要的预防和治疗意义。
总之,研究显示,饮酒与SBP之间的关联呈直接和线性,没有证据表明存在关联的阈值,而对于DBP,这种关联受性别和地理位置的影响。
▌参考文献
Silvia Di Federico, Tommaso Filippini , Paul K. Whelton,etal.Alcohol Intake and Blood Pressure Levels: A Dose-Response Meta-Analysis of Nonexperimental Cohort Studies.Hypertension. 2023;80:00–00. DOI: 10.1161/HYPERTENSIONAHA.123.21224
我要留言